ikon VTU

VTU

1.0 for Android
3.0 | 10,000+ Instal

Yajnesh Padiyar

Penjabaran dari 9apps VTU Syllabus

Saya ingin memberika sebuah aplikasi buat kamu. 20,000+ Pengguna mendownload VTU Syllabus versi terbaru di 9Apps secara gratis! Untuk pemain yang ingin memainkan keduanya, karena aplikasi ini bagus dan memiliki respon yang selalu cepat. Aplikasi HOT ini di rilis tanggal 2017-07-14. Baca keterangan berikut untuk melihat informasi selengkapnya.
Visvesvaraya Technological University (VTU) adalah salah satu Universitas Teknologi terbesar di India dengan 16 tahun Tradisi keunggulan Rekayasa & Pendidikan Teknik, Penelitian dan Inovasi.
Aplikasi ini dirancang khusus untuk Visvesvaraya Technological University (VTU) VTU - Belagavi, Karnataka.
Berisi informasi berikut
1. abount VTU
2. 2014-2015 Silabus
3. Daftar Perguruan Tinggi Kode
4. Hasil melalui SMS
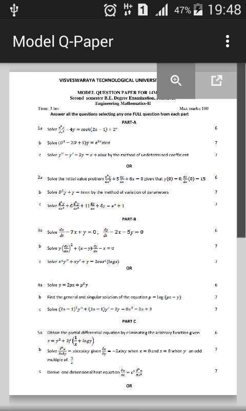
5. Model Pertanyaan Papers
Menilai aplikasi dan meminta informasi lebih lanjut yang diperlukan.
**** **** Tidak ada Iklan

Informasi

  • Kategori:
    Pendidikan
  • Versi Terbaru:
    1.0
  • Perbarui:
    2015-09-08
  • Ukuran File:
    1.1MB
  • Persyaratan:
    Android 4.0.3 or later
  • Diupdate:
    Yajnesh Padiyar
  • ID:
    vtusyllabus.yep.com.vtusyllabus