VTU आइकन

VTU

1.0 for Android
3.0 | 10,000+ इंस्‍टॉल की संख्या

Yajnesh Padiyar

का वर्णन VTU Syllabus

Here provides top Free Android Apps. 20,000+ users downloaded VTU Syllabus latest version on 9Apps for free every week! More features are involved in this new version. This hot app was released on 2017-07-14. Remember it’s the app with great joy!
विश्वेश्वरैया प्रौद्योगिकी विश्वविद्यालय (वीटीयू) इंजीनियरिंग और तकनीकी शिक्षा, अनुसंधान और नवाचार के क्षेत्र में उत्कृष्टता की परंपरा के 16 वर्षों के साथ भारत में सबसे बड़ी तकनीकी विश्वविद्यालयों में से एक है।
इस एप्लिकेशन को विशेष रूप से विश्वेश्वरैया प्रौद्योगिकी विश्वविद्यालय (वीटीयू) वीटीयू के लिए बनाया गया है - बेलगावी, कर्नाटक।
निम्न जानकारी होती है
1. abount वीटीयू
2. 2014-2015 सिलेबस
कॉलेज कोड 3. सूची
एसएमएस द्वारा 4. परिणाम
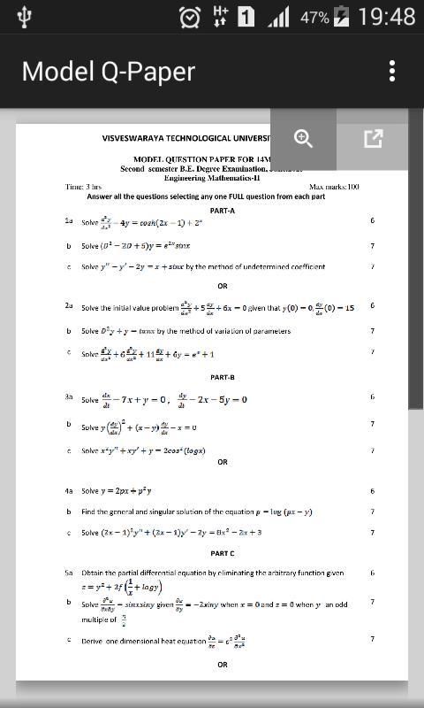
5. मॉडल प्रश्न पत्रों
App दर और आवश्यकता के रूप में अधिक जानकारी के लिए अनुरोध करते हैं।
**** विज्ञापन नहीं ****

जानकारी

  • श्रेणी:
    शिक्षा
  • नवीनतम संस्करण:
    1.0
  • आधुनिक बनायें:
    2015-09-08
  • फाइल का आकार:
    1.1MB
  • जरूरतें:
    Android 4.0.3 या बाद में
  • अपडेट करने की तारीख:
    Yajnesh Padiyar
  • ID:
    vtusyllabus.yep.com.vtusyllabus