Zibran
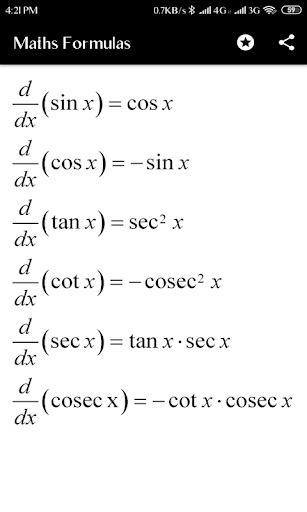
All Maths Formulas For 10th and 12th class easily understand. This app has 1000 maths formulas and more to come. You 'll find formulas very simply explained in the app with necessary figures will help you to understand very easily.
Talking Tom Cat
Quikr: Homes, Jobs, Cars Etc
Offline Music Mp3 Player- Muso
imo beta -video calls and chat
Facebook Lite
Mushroom Takeover
Temple Run 2
Candy Crush Saga
Stickman Fighting
ShopClues
VidMate
30.2MB100,000,000+
5.0Tools
WhatsApp Business
93.7MB1,000,000,000+
4.2Communication
Moj - Snack on Indian Short Videos | Made in India
106.8MB100,000,000+
4.2Social
2.5MB1,000,000,000+
4.0Social
Facebook
55.3MB5,000,000,000+
3.2Social
TikTok
58.9MB500,000,000+
4.3Video Players & Editors
9Apps 4.9