HiEdu - Công thức toán học icon

HiEdu - Công thức toán học

1.0.6 for Android
4.3 | 10,000+ Lượt cài đặt

HiEdu Team

Mô tả của HiEdu - Công thức toán học

Bây giờ không cần phải giấy ghi chú để nhớ công thức toán học chỉ cần sử dụng ứng dụng này đặt tất cả các công thức trên điện thoại yêu thích của bạn.
Bạn sẽ tìm thấy công thức rất đơn giản được giải thích trong ứng dụng với các số liệu cần thiết sẽ giúp bạn hiểu rất dễ dàng.
Ứng dụng này bao gồm:
1. Hình học
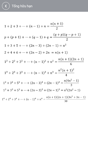
2. Đại số
3. Lượng giác
4. Phương trình
5. Hình học phân tích
6. Sự khác biệt
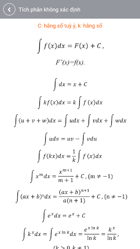
7. Tích phân
8. Ma trận
9. Xác suất và thống kê
10. Chuyển đổi đơn vị.
11. Thủ thuật Toán.
12.Tools
Công thức toán học là công thức toán học rất hữu ích phục vụ như là một tài liệu tham khảo nhanh chóng. Bạn sẽ không quên công thức toán học nữa. Ứng dụng này là mọi thứ bạn cần. Ứng dụng hoàn hảo cho sinh viên đại học và trung học. Bạn sẽ tìm thấy mọi thứ về toán học trong đó. Việc xem xét thường xuyên các công thức / khái niệm này chắc chắn sẽ giúp cải thiện điểm số môn toán của bạn.

Tính năng Mới HiEdu - Công thức toán học 1.0.6

Fix bug download formulas.

Thông tin bổ sung

  • Danh mục:
    Giáo dục
  • Phiên bản mới nhất:
    1.0.6
  • Đã cập nhật:
    2020-02-23
  • Kích thước:
    2.1MB
  • Yêu cầu:
    Android 4.0.3 or later
  • Nhà phát triển:
    HiEdu Team
  • ID:
    com.buta.mathformula
  • Available on: