All Mathematics Formula आइकन

All Mathematics Formula

1.0 for Android
4.3 | 5,000+ इंस्‍टॉल की संख्या

Pocket Books

का वर्णन All Mathematics Formula

9Apps provide lots of India android apps. 30,000+ users downloaded All Mathematics Formula latest version on 9Apps for free every week! Players who wants to play both because this app is good and because the app are response quickly at any time. This hot app was released on 2017-11-22. Besides, you can also select other popular apps you like here!
विषय:
-Algebra
-Geometry
-Analytical Geommetry
-Derivative
-Integration
-Trigonometry
-Laplace
-Fourier
सीरीज
-संख्यात्मक तरीके
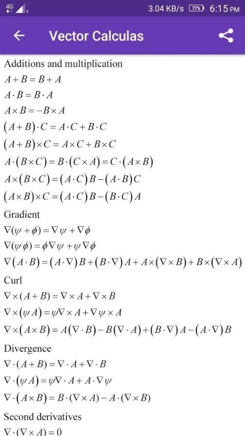
-Vector पथरी
-Probability
-Beta गामा
-z रूपांतरण
सभी thsese विषयों उपश्रेणी में वर्गीकृत किया गया है और सभी fromula विषय के बारे में दिए गए।
-------------------------------------------------- ----------------------------------------------
हम क्रम में एक सादे सरल तरीके से इस अनुप्रयोग के लिए बनाया गया है कि यह आसानी से हर किसी के द्वारा समझा जा सकता है।
इस एप्लिकेशन को ध्यान में रखते हुए कि यह रूप में mathmatics दुनिया भर में इंजीनियरिंग और प्रौद्योगिकी की सभी शाखाओं में एक महत्वपूर्ण भूमिका निभा रहा है छात्रों के लिए उपयोगी होना चाहिए बनाया गया है।
यह निश्चित रूप से साक्षात्कार, परीक्षा की तैयारी के लिए और कई और अधिक तरीकों से यू में मदद मिलेगी
कभी भी और कहीं आप गणित फॉर्मूला बारे में कोई जानकारी की आवश्यकता है, आप बस एक क्लिक से दूर रहे हैं ...
बेस्ट ऑफ लक ... मुझे आशा है कि यह पसंद है ...

जानकारी

  • श्रेणी:
    शिक्षा
  • नवीनतम संस्करण:
    1.0
  • आधुनिक बनायें:
    2017-11-19
  • फाइल का आकार:
    4.6MB
  • जरूरतें:
    Android 4.0.3 या बाद में
  • अपडेट करने की तारीख:
    Pocket Books
  • ID:
    all.maths.formula.pocketbooks